
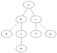
- 너비 우선 탐색(Breadth-first search, BFS)은 맹목적 탐색방법의 하나로 시작 정점을 방문한 후 시작 정점에 인접한 모든 정점들을 우선 방문하는 방법.
- 더 이상 방문하지 않은 정점이 없을 때까지 방문하지 않은 모든 정점들에 대해서도 너비 우선 검색을 적용한다.
- 큐를 이용해서 구현
- 미로 찾기 알고리즘에서 주로 이용함
#include <iostream>
#include <queue>
#include <vector>
using namespace std;
int number = 7;
int c[8]; // check 처리 확인 배열
vector<int> v[8];
void bfs(int start){
queue<int> q;
q.push(start); // queue에 시작점 넣고,
arr[start] = true; // 방문 처리
while(!q.empty()){
int x = q.front();
q.pop();
cout << x << ' ';
for(int i = 0; i < v[x].size(); i++){
int y = v[x][i];
if(!c[y]){ // checked가 아니라면
q.push(y); // 넣고
c[y] = true; // 방문 체크
}
}
}
}
int main() {
// 1과 2을 연결
v[1].push_back(2);
v[2].push_back(1);
// 1과 3을 연결
v[1].push_back(3);
v[3].push_back(1);
// 2와 3을 연결
v[2].push_back(3);
v[3].push_back(2);
// 2와 4을 연결
v[2].push_back(4);
v[4].push_back(2);
// 2와 5를 연결
v[2].push_back(5);
v[5].push_back(2);
// 3과 6을 연결
v[3].push_back(6);
v[6].push_back(3);
// 3과 7을 연결
v[3].push_back(7);
v[7].push_back(3);
// 4과 5을 연결
v[4].push_back(5);
v[5].push_back(4);
// 6과 7을 연결
v[6].push_back(7);
v[7].push_back(6);
bfs(1);
return 0;
}
너비 우선 탐색 - 위키백과, 우리 모두의 백과사전
위키백과, 우리 모두의 백과사전.
ko.wikipedia.org
15. 너비 우선 탐색(BFS)
너비 우선 탐색(Breadth First Search, BFS)은 탐색을 할 때 너비를 우선으로 하여 탐색을 수행하는 ...
blog.naver.com
'OLD_알고리즘' 카테고리의 다른 글
| ASCII (0) | 2020.11.25 |
|---|---|
| BFS & DFS 구분하기 2 (0) | 2020.10.22 |
| 깊이 우선 탐색. Depth First Search(DFS) (0) | 2020.10.12 |
| C++ 레퍼런스 - std::array (안전한 배열) (0) | 2020.09.22 |
| DP(Dynamic Programming) (0) | 2020.08.02 |
댓글